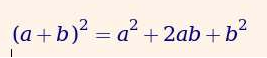
Recuerdo cuando en la escuela tuve que memorizar el desarrollo del binomio al cuadrado (a + b) ^2:

el primer término al cuadrado mas/menos el doble del primero por el segundo, mas el segundo al cuadrado.
Ok. Ahora toca el turno memorizar el desarrollo del binomio al cubo (a + b) ^3:

El primer término al cubo, mas 3 veces el primer término al cuadrado por el segundo, mas 3 veces el primer término por el segundo al cuadrado, mas el segundo al cubo.
Ahora, qué tal si se desea que el binomio sea elevado a la n potencia? También tendríamos que memorizar la fórmula?
No, afortunadamente muchos matemáticos han estudiado cómo se comportan estos coeficientes. Y ahora podemos deducir los coeficientes simplemente construyendo lo que se conoce como triángulo de Pascal.

Empezamos en la primera fila con un 1. En la segunda fila creamos dos ramas, con 1 también. A partir de ahora cada número dentro del triángulo es la suma de los dos que están colocados arriba de él.
Olvídate de memorizar porque es más sencillo desarrollar el triángulo de Pascal para la potencia que desemos desarrollar el binomio.

